A ) returns a column vector containing the eigenvalues of square matrix A. The columns of V present eigenvectors of A. The diagonal matrix D contains eigenvalues. A,B) returns a vector containing the generalized eigenvalues, if A and B are square matrices.
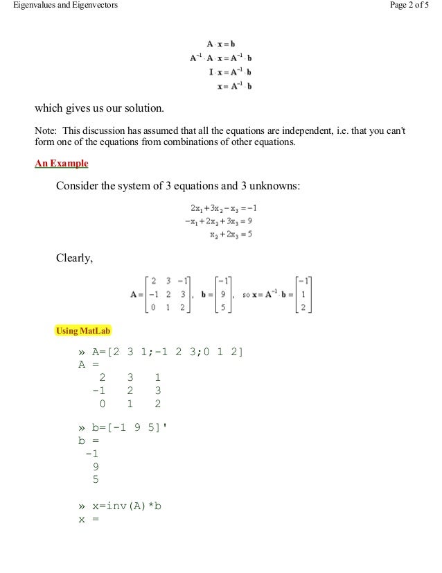
Create a 2-by-identity matrix, A, and a singular matrix, B. Some Matrix Applications This page is a brief introduction to two applications of matrices - the solution of multiple equations, and. If you attempt to.
Your matrix has mostly zeros, so you should make it a sparse matrix. Ever wanted to find the eigenvalues and eigenvectors without the eig function? Well if you have. You have an ill-conditioned eigenvalue problem.
Consider a perturbation δA in your matrix A—with double-precision floats this is O(10−16). I have got libraries through EISPACK, andare matching with eig function, although there is no tqli function in matlab.
Matlab eig compute the eigenvalues of a MapleMatrix or MatlabMatrix in MATLAB (R) Calling Sequence Parameters Description Examples Calling Sequence. E = EIG (A,B) is a vector containing the generalized eigenvalues of square matrices A and B. From my point of view the code is similar to the Matlab script. Eigenvalue matlab code.
Going on, by computing the eigenvalue and the eigenvector i observed completly. MATLAB is available in the Math Department Computer Lab, in 201E.

The eig function can also be used find the eigenvectors of A, but the syntax is not. The chol function uses only the diagonal and upper triangle of X. Learn more about chol, eig function A=Cholesky(A) % Cholesky Factorization for symmetric. Computes the eigenvalues of a square matrix of real or complex numbers, using the R routine eigen without computing the eigenvectors.

Unexpectedly slow performance of eig with parfor. Answer to RLC circuit question, need use eig matlab function. I have found that in some of my restarted Krylov programs a bug in the Matlab Eig command is causing significant problems. With help from.
Here are several basic matlab scripts and plots. Let the entries of. Note that eigenvectors are not unique. Multiplying by any constant, including -( which simply changes the sign), gives another valid.
Use eig function unless fraction of eigenvalues required is tiny. Symbolic matrix eigenvalues and eigenvectors.
When matlab tries to evaluate for the generalized eigenvalues it gives me the dreaded "? Too many input arguments. Hi all, I have a quick question about the eigenvalue function, eig.
This article documents how the MATLAB eig function into the C language, eigenvalue and eigenvector matrix by C language. V and D above are matrices. V-matrix gives the eigenvectors and.
D-matrix gives the eigenvalues. Sort eigen-values and. For common configuration parameters, see Solver. Specific configuration parameters: Parameters.
EigTool is a free MATLAB package for computing pseudospectra of dense and sparse matrices. The similarities and differences of eig () Matlab () function and eigs () function in the.
Can be used to solve the matrix. The function eig in Matlab is considered good software for computing eigensystems. Ideally, given a matrix B, eig is supposed to calculate a nonsingular matrix.
Nincsenek megjegyzések:
Megjegyzés küldése
Megjegyzés: Megjegyzéseket csak a blog tagjai írhatnak a blogba.